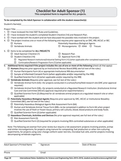
image image image image image image image
how to reset clearblue ovulation test

HOW TO RESET CLEARBLUE OVULATION TEST Backstage Footage Exposed

⭐⭐⭐⭐⭐ 8.772.883 reviews · $18.99 OPEN

HOW TO RESET CLEARBLUE OVULATION TEST Backstage Footage Exposed! 🥇 Learn everything about how to reset clearblue ovulation test with our modern resource. Access technical support to enhance satisfaction confidently. WARNING: Explicit Content!

OPEN